Observations ISM de Phobos





 


Autres pages ISM :

 




Image de navigation de la sonde Phobos-2, durant l'approche (caméra VSK)

Phobos-2

L'instrument ISM a procédé aux premières observations en proche infrarouge de Phobos, avec une résolution au sol de 700 m. Le cube-image ISM est ici projeté sur une image acquise simultanément par la caméra (VSK). Le critère spectral représenté est la profondeur de la bande d'absorption des silicates à 1 micron, qui est une mesure de l'abondance locale en minéraux ferro-magnésiens (olivine et pyroxènes ; les fortes abondances sont représentées en bleu). L'image du bas est le rapport entre les intensités mesurées dans les deux canaux spectraux de la caméra (visible et proche infrarouge) sur la zone observée par ISM - on remarque la bonne corrélation entre ces deux images.

Ces deux critères sont parmi les plus importants pour comparer Phobos avec les astéroïdes et les météorites, et déterminer son origine et son évolution. La comparaison avec les observations de la caméra et du spectromètre UV-visible de la mission (KRFM) a montré a posteriori qu'ISM n'a observé qu'une seule des deux unités géologiques majeures de la surface, la plus homogène. Une unité plus bleu est présente sur l'autre face de Phobos, autour de Stickney (le plus grand cratère de Phobos).

Pour en savoir plus :

Base de données ISM
Images VSK



Observations du spectro-imageurISM projetées sur une image de la caméra de bord de Phobos-2 (VSK). La profondeur de la bande à 1 µm dépend de la composition et des effets de maturation (Murchie & Erard, 1996).




Rapport des images VSK dans les deux filtres visible et infrarouge. La région de Stickney et ses éjectas apparaissent beaucoup plus bleu que les autres régions, indiquant une surface plus jeune (Murchie et al., 1991).

Propriétés spectrales

Les propriétés observées par ISM sont les suivantes :

  • faibles variations d'albédo (les variations observées de réflectance sont corrélées à la pente des terrains) ;
  • continuum à pente très marquée en infrarouge ;
  • absence totale d'absorption à 3 µm, qui trahit un très faible degré d'hydratation des terrains observés ;
  • présence d'une bande d'absorption modeste centrée à 1 µm, avec des variations spatiales de quelques pourcents corrélées aux variations du rapport visible / IR.
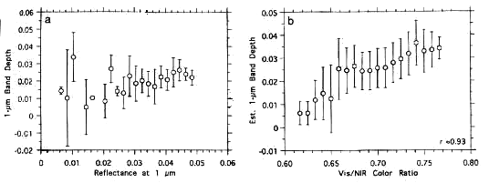
La bande à 1 µm est bien visible sur des rapports de spectres, qui permettent de s'affranchir des problèmes d'étalonnage des données. La figure suivante indique que les variations de cette bande d'absorption ne sont pas reliées à la quantité de lumière réfléchie (qui dépend essentiellement de la géométrie d'observation et de l'orientation des reliefs), mais sont au contraire corrélées à la pente des spectres.




Interprétations

La variabilité des propriétés de surface trahit une histoire géologique plus complexe que l'on ne croyait jusqu'alors :

  • la profondeur de la bande d'hydratation indique un contenu en eau maximum de ~0,2% dans les terrains exposés ;
  • la position de la bande à 1 µm est incompatible avec une composition dominée par les oxydes de fer ou les phyllosilicates, mais indique un mélange de pyroxènes et d'olivine.

Ces deux propriétés sont en contradiction avec les interprétations précédentes, qui voulaient que la surface de Phobos soit similaire aux météorites de type CM (chondrites carbonées) ou aux astéroïdes de type C ou D. Ces interprétations reposaient sur les données beaucoup moins complètes de Viking et Mariner 9, mélangeant probablement les spectres des unités rouge et bleu.


Image MOC de Phobos acquise durant la phase de descente de Mars Global Surveyor. Le grand cratère de l'image est Stickney.






Modèle topographique Viking en rotation (mpeg).

Les observations d'ISM indiquent au contraire une similitude avec certaines météorites L (chondrites ordinaires sombres), les astéroïdes de type T, et surtout avec les terrains lunaires matures. Les deux figures ci-dessus illustrent cette comparaison (l'unité rouge est un composite KRFM-VSK-ISM, l'unité bleu un composite KRFM-VSK). Une interprétation attrayante est que Phobos s'est formé à l'intérieur du Système solaire (à la distance de Mars) et n'est pas un objet exotique capturé par la planète. L'unité observée par ISM serait largement modifiée sous l'influence des micrométéorites et du vent solaire ("space weathering") comme c'est le cas sur la Lune. L'autre unité n'est pas bien caractérisée spectralement, mais sa corrélation avec les cratères d'impact indique que le matériau provient de l'intérieur de Phobos ; il pourrait s'agir soit du même matériau fraîchement exposé et non altéré, ou bien d'un matériau différent constituant l'essentiel du volume, qui indiquerait que Phobos est un assemblage de débris ayant connus des histoires très différentes pendant les premiers temps du Système solaire.





Voir aussi :

Liens petits corps
Murchie & Erard 1996 (Icarus)
Article Phobos (Encyclopedia of Astronomy & Astrophysics)
Archive des données ISM (IAS)



Autres pages ISM :

 

 

 

Retour

http://www.lesia.obspm.fr/~erard

Dernière mise à jour : 11 mai 2001
Remarques : stephane.erard at obspm.fr
S. Erard © 2000-2006