next up previous
Next: 5. HOW TO IMPLEMENT Up: A Detection Method for Previous: 3.3 What could be


4. THE STATISTICAL RATE OF A REALISTIC OCCULTATION BY KBOs

In section 2, we defined the statistical rate of occultation as the probability of intersection in the sky plane of the star disc with the KBOs diffraction shadows. The diffraction shadow, for a given sensitivity $\epsilon $, has been defined in the previous section as the disk of radius $\rho_\epsilon(\rho,R_\star)$, and given graphically (in Fsu) for some $R_\star $. Therefore, the computation of the statistical rate of occultation remains basically the same than in section 2 except that:
(i) we have to express the differential size distribution $\nu$ given by Eq.3 per squared Fsu (instead of steradian). Then, by integrating $\nu$ in D between 30 and 50 AU, we obtain the mean KBO density per km$^2$:

\begin{displaymath}
\delta (\rho,i) =
{1.4~10^{-8}} \frac{(1+\sin^2H) }{H}e^{\frac{-i}{H}}~ (q-1) \rho^{-q}
\end{displaymath} (13)

where $\rho$ is expressed in km, i and H in degree.
(ii) we have to substitute in Eq.1 the term taking into account the geometric partial occultation radius $(\varphi +
\Phi_\star)$ by the diffraction radius $\rho_\epsilon(\rho,R_\star)$, all expressed in Fsu.

We finally obtain an occultation statistical rate as:

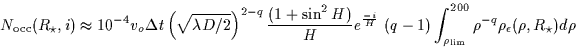
\begin{displaymath}
N_{\rm {occ}}(R_\star,i) \approx {10^{-4}} {v_o}{\Delta t}
...
...\rm {lim}}}^{200}{\rho^{-q} \rho_\epsilon(\rho,R_\star) d\rho}
\end{displaymath} (14)

where $v_o$ is expressed in km/s, ${\Delta t}$ in hours, $\lambda$ and D in km, and all other distances in Fsu. Then $N_{\rm {occ}}(R_\star,i)$ needs to be numerically estimated using the graphical values of $\rho_\epsilon(\rho,R_\star)$ and $\rho _{\rm {lim}}$ given by the Fig.3a-3e: Some numerical results are summarized in Table I which gives the occultation rate per 8 hours observation in the ecliptic and the radius of the smaller detectable KBOs as a function of the stellar radius and the r.m.s. signal fluctuation $\sigma $ (with a detection threshold $\epsilon=4\sigma$), for a power law index of the size distribution $q = 4$ . For comparison with purely geometric rate given by Eq.8, $N_{\rm {occ}}$ now varies roughly now as $\sigma^{-2}$ (for approximate stellar radii $\Phi_\star < 0.01$ mas), while Eq.8 and Eq.14 yield roughly the same rate for the largest stars.

Table 1: Occultation rate per night (with the minimum size of detectable KBO) as a function of the photometric precision $\sigma $ and the stellar radius $R_\star $ projected at 40 AU [with its angular radius $\Phi _\star $ in mas], for a differential size distribution of KBOs varying as $\rho ^{-4}$.
$ r_\star [\Phi_\star] = $ 0.1km [0.003] 0.5km [0.017] 1km [0.034] 2km [0.07] 10km [0.34]
$\sigma = 0.1$ 0.01 (430m) 0.006 (530m) 0.004 (550m) $8~10^{-4}$ (1.1km) $3~10^{-5}$ (6.3km)
$\sigma = 0.05$ 0.06 (280m) 0.03 (320m) 0.01 (340m) 0.003 (780m) $8~10^{-5}$ (4.5km)
$\sigma = 0.01$ 2 (120m) 0.5 (130m) 0.2 (140m) 0.05 (280m) $10^{-3}$ (2km)
$\sigma = 0.005$ 6 (80m) 1 (90m) 0.6 (100m) 0.2 (190m) 0.003 (1.4km)
$\sigma = 10^{-3}$ 85 (40m) 17 (40m) 7 (45m) 3 (80m) 0.03 (630m)
$\sigma = 5~10^{-4}$ 250 (25m) 50 (30m) 20 (30m) 8 (55m) 0.08 (450m)
All values computed from Eq.14, with the detection threshold set to 4$\sigma $, the Fresnel scale set to 1km, $v_o = 25$km/s (opposition), $i=0\hbox{$^\circ$}$, $H=30\hbox{$^\circ$}$, and $\Delta t= 8$hours.


The most important result from Table I is that the number of occultations for a star in the ecliptic could be from a few to several tens per night if we have good enough photometric precision (i.e. <1%) and a sufficiently small star (i.e. < 0.01 mas). This result is basically due to the diffraction broadening of small (assumed numerous) Kuiper belt objects.

Nevertheless, we must keep in mind the assumptions concerning the population of KBOs which lead to these numbers of Table I: A constant slope for the differential size distribution and a radial distribution extending to 50 AU. The sensitivity of the occultation rates to the size distribution can be tested by considering another, less simple, model of the size distribution: The size distribution with a constant slope with $q = 4$ implies that KBOs smaller than 1 km radius have a collision time scale smaller than the age of the solar system. Then, a more realistic model is a slope $q = 4$ for KBOs larger than 1 km radius and a smaller slope for smaller objects (Gladman, private communication). Observation of impact craters on Triton leads to a population of small objects in the outer solar system governed by an index $q=3$for the differential size distribution [Stern and McKinnon 2000]. This model reduces the number of occultations, as it is shown in Table II. For example, with a 0.1 km apparent star radius, the occultation rate is reduced by a factor 2 for $\sigma = 0.05$, by a factor 6 for $\sigma = 0.01$, and by a factor 20 for $\sigma = 5~10^{-4}$.

Table 2: Occultation rate per night computed as in Table I but with a differential size distribution varying as $\rho ^{-3}$ for $\rho < 1{\rm km}$ (all other parameters set as in Table I).
$ R_\star = $  0.1km 0.5km 1km 2km 10km
$\sigma = 0.1$ 0.007 0.005 0.003 $8~10^{-4}$ $3~10^{-5}$
$\sigma $ = 0.05 0.03 0.01 0.008 0.003 $8~10^{-5}$
$\sigma $= 0.01 0.3 0.1 0.06 0.02 $10^{-3}$
$\sigma = 0.005$ 0.7 0.2 0.1 0.06 0.003
$\sigma = 10^{-3}$ 5 1 0.7 0.3 0.02
$\sigma = 5~10^{-4}$ 11 3 1 0.7 0.05

Whatever the model we use, the radius $\rho _{\rm {lim}}$ of the smallest detectable object will be fixed by the observational parameters $R_\star,\sigma$ and the Fresnel scale. So no information below this lower limit of detection can be obtained from such occultation observations. But, above this limit, since the occultation rate is very sensitive to the distribution slope, the method can provide strong constraints on the differential size distribution of the Kuiper belt population. We will return on this point in section 5.2 since it actually depends on what and how the method is implemented.


next up previous
Next: 5. HOW TO IMPLEMENT Up: A Detection Method for Previous: 3.3 What could be
DESPA, Observatoire de Paris
2000-04-05